Минск
RU
EN
Сегодня уже оформлено 3 заказа

Полиэфирные полиолы для получения жестких пенополиуретанов (ППУ)

Полиэфирные полиолы для жестких ППУ – это продукт реакции между многоатомным спиртом (или амином) инизкомолекулярными соединениями оксида пропилена (иногда оксида этилена). Такие спирты имеют 3 – 8 гидрокси-групп на 1 моль, а полиольнаяцепь, развивающаяся из каждой гидрокси-группы имеет относительно малую длину –0.5 – 2 мономерных блока.

Гидроксильное число таких полиолов достаточно высокое – 300 – 800 мг КОН/г (реже 600 – 800 мг). Эквивалентная масса полиэфир-полиолов для жестких ППУ относительно низкая – около 60 – 200. Для сравнения, эквивалентная масса полиэфир-полиолов для эластчиных ППУ – 1000 – 2000.

Основная реакция получения полиэфирных полиолов для жестких ППУ:

Наиболее распространенные многоатомные спирты, используемые для получения полиэфир-полиолов для жестких ППУ и некоторые их свойства приведены в таблице ниже.

Многоатомный спирт Формула Молекулярная масса Кол-во функц. групп Гидроксильное число
1 Глицерин HOCH(CH2OH)2 92,10 3 1827,3
2 Триметилол-пропан CH3CH2C(CH2OH)3 132,0 3 1275,0
3 Триэтаноламин N(CH2CH2OH)3 149,19 3 1128,0
4 Пентаэритриол C(CH2OH)4 136,0 4 1650,0
5 Ди-пентаэритриол (HOCH2)3CCH2OCH2——C(CH2OH)3 254,0 6 1325,19
6 α-метил глюкозид 194,19 4 1155,56
7 Ксилитол HOCH2(CHOH)3CH2OH 152,0 5 1845,39
8 Сорбитол HOCH2(CHOH)4CH2OH 182,17 6 1847,7
9 Сахароза   342,30 8 1311,1

Из приведенного списка видно, что некоторые спирты имеют алифатическую структуру (глицерин, пентаэритриол, ксилитол, сорбитол), другие обладают циклическим строением (сахароза, α-метил глюкозид). Как правило, жесткие ППУ, полученные на основе многоатомных спиртов с циклоалифатической (ароматической) структурой, характеризуются большей жесткостью, улучшенными физико-механическими параметрами, а также повышенной термо- и огне- стойкостью, относительно ППУ на основе цепных алифатических спиртов с таким же количеством функциональных групп и значениями гидроксильных чисел.

Второй важной группой полиэфирных полиолов для жестких ППУ являются продукты реакции между оксидами и полиаминами.Основные полиамины и их основные свойства приведены в таблице ниже.

Полиамин Формула Молекулярная масса Кол-во функц. групп Гидроксильное число*
1 Этилендиамин   60,10 4 3733,7
2 Диэтилен-триамин    130,20 5 2718,0
3 о-диамин толуол   122,16 4 1836,9
4 Дифенилметан-диамин   198,27 4 1131,78

* Очевидно, что полиамины не имеют гидрокси-групп и гидроксильное число нельзя использовать в качестве их характеристики. В данном случае, в таблице указаны значения гидроксильных чисел для полиэфир полиола, полученного на основе приведенных в списке аминов.

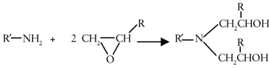
Амино группы (-NH2), вступая во взаимодействие с органическими оксидами, образуют амино-полиол, который не обладает разветвленной полиэфирной структуры:

Однако, при увеличении концентрации оксидов в реакционной смеси, в присутствии катализатора, происходит постепенное разветвление структуры, приводящее к получению полиола с полиэфирной разветвленной структурой:

Обе структуры амино-полиолов (разветвленные и неразветвленные) находят применение в производстве ППУ. Спирты с меньшей разветвленностью чаще используются в качестве сшивающего агента для получения жестких ППУ и различных покрытий.

Третья группа веществ, используемая при получении полиэфир-полиолов для жестких ППУ – продукты реакций между ароматическим соединением (например, фенол) и альдегидами (например формальдегид).

Примерами таких соединений могут послужить:

                                                      

Эти вещества важны, так как применяя их в реакции синтеза полиэфирного полиола, полученные в последствии ППУ будут обладать выдающимися физико-механическими и огнеупорными свойствами, относительно ППУ, полученных из других реагентов.

Подводя итог, главными реакциями, применяемыми для синтеза полиэфир полиолов для жестких ППУ являются:

А) Полиприсоединение органических оксидов к гидроксильным группам многоатомных спиртов:

Б) Присоединение органических оксидов к амино группам:

Полиэстер полиолы для получения жестких пенополиуретанов (ППУ)

Первыми полимерными многоатомными спиртами, применяемыми для получения жестких ППУ были низкомолекулярные полиэстеры, на основе адипиновой кислоты и ангидрида фталиевой кислоты, а также различных гликолей и полиолов. Примером такого полиэстера, может послужить продукт процесса поликонденсации между адипиновой кислотой, фталиевым ангидридом и триметилолпропаном (основные свойства приведены в таблице ниже). Иногда к таким полиэстерам добавляют олеиновую кислоту для улучшения взаимодействия полиола с вспенивающим агентом.

Свойство Ед. изм. Полиестер-полиол Полиэстер-полиол с добавлением олеиновой к-ты.
Молекулярная масса Дальтон 900 1030
Гидроксильное число мг КОН / г 350-390 350-390
Среднее кол-во функциональных групп ОН группы / моль 6,0 6,6
Вязкость, при 70 °C,при 75 °C мПа*сек -2500-4000 1300 – 1500-
Температура стеклования °C 21 7
Кислотное число мг КОН / г < 4 < 1
Плотность, при 25 °C г/мл 1,12 1,1

В 1960е – 70е годы, более дешевые, менее вязкие и более функциональные полиэфир-полиолы практически полностью вытесняют полиэстер-полиолы из промышеленного процесса получения полиуретановых пен. ППУ на основе полиэфир-полиолов характеризуются лучшими физико-механическими свойствами при низком изоцианатном индексе (около 105-115).

Однако, развитие технологии производства плотных и жесткосшитыхполиизоциануратных(ПИР) пен стало широкой областью применения именно полиэстер-полиолов. Для производства ПИР не требуется высокая концентраци функциональных групп, а пластифицирующий эффект, характерный при применении полиэстер-полиолов, является преимуществом в процессе производства.

Первыми полиэстер-полиолом, использованном в процессе производства ПИР стали низкомолекулярные продукты поликонденсации между адипиновой кистолотой, этиленгликолем (или диэтиленгликолем), с добавлением фталиевого ангидрида и триолов.

ПИР характеризуются гибридным строением: в структуре молекул присутствуют как уретановые группы, так и изоциануратные кольца:

Уретановые группы возникают вследствие реакции –NCOгрупп изоцианатов с гидроксильными группами полиолов. Изоциануратные кольца получаются вследствие тримеризации избыточных групп –NCO под действием специальных катализаторов (трис-диметиламинометил-фенол, ацетат калия и другие).

 

Онлайн-заявка

Узнать о наличии готовой продукции на складах и получить коммерческое предложение: